Why Riding Slower Makes You Faster [GCN's latest video] Thoughts?

But a 7 percent difference in work load.

I get the point you are trying to make but it just doesnt work like that.

Which is ‘superior’ depends on what you are training for, where you are in the season / time til the outcome you want to achieve, how it fits in with your macro and mirco cycles, faitgue, stress management, training history etc. Imo

Anyone bluntly saying X is better than Y is talking :poop: without a lenghty explaination of the context.

2 Likes

Sorry 7% difference is a fact.

So are you saying 5 mins at 12kj per minute is an equivalent workout to 90 min at 12kj per minute.

I know the what the discusion was about.

Not watched the video so no idea if they do a good job of explaining it.

I can attest that these are hard. Did 45 mins at low zone 2 yesterday - its definitely not easy keeping constant pressure on the cranks for an extended time.

But if its hard, probably means its worth doing :slight_smile:

2 Likes

Unfortunately those group rides you described are what a lot of people think are long endurance rides. They see the time spent riding, but don’t look at the nature of it, and eventually they stagnate because they aren’t doing much aerobic work at all.

Anecdotally just from my recent training (not even looking at my clients), I’ve raised my volume up quite a bit (average around 13hrs per week, up to 15+ hrs per week) over the last couple of months. I’ve done nothing over threshold… but I just set all-time 1-min and 4-min power PRs over the weekend, and was about 4W off of my all-time for 30-35min. All on long steady volume with 3 extensive threshold sets and 2 extensive SST sessions in a four-week span. Riding that steady low-intensity volume works.

Riding SST works, but IMO if you’re trying to substitute SST in lieu of low-intensity volume, you’re not training optimally. The older TR sweet spot plans had too much intensity (FTPs frequently based on a bad estimate), too frequently, but for not enough duration, but they’re trying to serve a certain customer base - time-crunched, riding indoors (many people don’t like doing long trainer rides), etc.

To address the back-and-forth… if you listen to what Frank Overton (probably the foremost promoter of sweet spot) says, even he has said on various podcasts that you should be using it to supplement as much Z2 volume as you have time for. It often comes up in debates about “SST vs. Polarized”, and when you listen to proponents of each talk, you’re going to hear them all say “ride lots at low intensity.” And then coaches who don’t subscribe to a fixed training intensity distribution will also tell you the same thing. So take that FWIW.

8 Likes

Does anyone have a sense of the minimum duration of a zone 2 session to see benefits?

In other words, if I add 30 minutes of zone 2 to my Tuesday (threshold or VO2 Max) and Thursday (endurance) workouts, is that helpful?
Would I be better off just adding 60 minutes of zone 2 before my Tuesday workout?

Here’s what I really want to know: can you rank these options in terms of training benefits, given that I’m in my base training period, currently doing a TR polarized low-volume plan, with the intense workouts on Tuesdays:

  1. Add 1 hour of zone 2 Trainer time to 1 hour zone 2 Trainer session on Thursday nights
  2. Add 30 minutes of zone 2 Trainer time to 1 hour zone 2 Trainer session on Thursdays, and another 30 minutes to the beginning of a threshold or VO2Max session on Tuesday mornings
  3. Add 1 hour of zone 2 Trainer time to 1 hour threshold or VO2Max session on Tuesday mornings.
  4. Add 1 hour of zone 2 Trainer time before my 2-3 hour outside MTB ride
  5. Add 1 hour of zone 2 Trainer time on Sundays as a separate day and separate session.
  6. Another option that I haven’t thought of

Does anyone have any indication of how long it would be before I saw improvement after 4 hours a week of zone 2?

I would consider option 1 or 4. But basically it’s not only about pure z2 as a ride but also about overall volume. But this volume is added by low intensity. So as wiseman said “It depends”. For example I do 2:30-3h rides with intensity (threshold or o/u) spreaded through the ride - so your mtb ride (4) would be just longer. Option 1 is pretty logical as you keep everything “in zone”. So I would say - just add where it’s most convenient for you.

3 Likes

There’s also been lots of chatter recently about fatigue resistance and doing your SS/Thresh workouts after x-amount of work. There would be benefit to doing it before your Threshold workout, and I believe it amplifies the training effect, but can’t quote the science off the top of my head.

I wouldn’t do before the VO2 session personally, unless it’s very low Z2 and helps you shed fatigue/bring freshness to the VO2 intervals.

1 Like

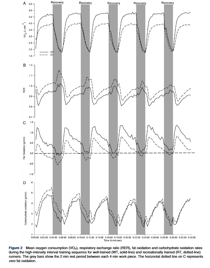
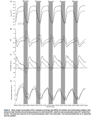
So if it is bad to do intensity early in ride because it would shut down fatox for 20-30min, why is fat ox happening after the first 4min interval. All the remainder intervals should be carbs only. But no, the first 2min of each 4min interval runs on fat!

Similar, Andy Coggan shared this (I posted it in this forum somewhere). Alternations of 15min intervals, sub-LT1 and at FTP. After each FTP interval fat ox would be restored almost immediately to the level expected for sub-LT1

And finally this here, I’ve probably already posted this a dozen times in this forum:

it takes 4-5min after an all-out effort to restore fat ox. And even to an elevated fat ox level. This is why many coaches prescribe this priming efforts for time crunched athletes. Elevated fat ox is about the level you would see when doing fasted training.

17 Likes

Yes I’m listening to the guy that’s trained Pogacar, seems like he might know a thing or two…

I believe @sryke is saying that fax ox returns much faster than ISM states.

I may be misunderstanding you, but I think you (ISM) are saying that?

3 Likes

I’m not saying he’s not an excellent coach or that he might not be absolutely right, but I would not assume that just because something works for Pogacar, it’s going to work for you.

13 Likes

This is also my conclusion. Basically most of us are limited by time, and riding more is usually only solution for more gains. So ride as much as you can (time of recovery constrained) and add some intensity. If it stop working - try vo2 max, and return to ftp. You can optimize and implement every little part of science but honestly - those are minuscule changes in a grand schme. Of course if you are genetic freak racing with other genetic freaks every single small difference matters. For us, 9-5 mortals - just riding more is the biggest improvement we can make. Even if it’s commuting in z1 30min/day it will provide some benefits.

5 Likes

So it seems like we end up at the same place as we were before the video. For the average, time crunched athlete, do the low volume plans and add as much z2 volume as you can fit in, either on the “off days” or before or after a ride. Seems that this has been the recommendation for awhile?

4 Likes

Since the days of Eddy…

“Ride lots.”
Eddy Merckx

4 Likes

This is exactly where I keep going in my head with this conversation. “Ride as many hours as you can and mix in some Threshold and VO2 once in a while”.

2 Likes

I would expect this due to the increased catecholamines associated with the max efforts to increase lipolysis. Do you have a ref or source for the german graphs?

What we’ve done so far is show that ISM’s “workout order” is based on something incorrect. So to keep my opinion out of it for now, the question for everyone reading is: did it matter in the first place? And if it does, what could be done better?

4 Likes

To be clear, ICM is signaling strong preference in these videos for slotting in Z2 at the beginning of your ride (aka extended warmup) vs. tacking it on at the end.

2 Likes

For me building confidence in myself that I can maintain such high powers for a long duration of time without completely wasting myself…

2 Likes