Glucose Spikes and Dips

Yup.

I’ve seen this far more frequently now, than any measurable benefit.

HRV monitoring fell into the same category 10 years ago (and arguably still does today).

2 Likes

You need to factor in that it is not a true cgm. If it functions like a libre it is reading from your interstitial fluid. This is not nearly as accurate as a finger prick measuring your actual blood glucose.
I say this as a T2 diabetic who used a libre for close to a year and it was wildly inaccurate throughout that time.
Also, it is normal for non diabetics to have up and down in your glucose. It isn’t a static thing. A non diabetic will come back into a healthy range whereas our GPS is broken and will stay high or crash and burn depending.
Frankly sounds like a recipe for making yourself nuts since it is giving you data that you have no way to really understand or make use of. Kind of like my mom with her iPhone😁.

4 Likes

Yeah completely, i only got it to try and figure out why a sometimes crash badly after a meal (50mg/dl on a finger prick) and if there were any trend. Reactive hypo was my initial thoughts.

That said it is pretty useless as it consistency reads at least 20mg/dl high so even when finger pricks show low the cgm is claiming normal. What a load of rubbish.

1 Like

The only useful takeaway i had from using a libre for my T2 was spotting trends. Accuracy was all over the place.
We live in a very data driven universe and some of it is just clutter. Like i said earlier - unless you understand what you are reading and how it applies to your particular case - i dont see the value. Add to it that it is likely not accurate and then what y’a got?
Are you concerned at all about diabetes or is this merely a training driven concern?

Yes was concerned about my blood sugar fluctuations. From my feelings, i swing up and down very quickly kinda the opposite of a diabetic.

Even though the numbers are wrong on the CGM it does confirm i come down from big carby meals very quickly and someone lower than before hence confirming my feeling of initial brain fog (large insulin release) then low blood sugar. The only way i stay stable (and i feel great) is low carb meals.

What this means i don’t know but maybe the docs to be tested for high insulin or Hyperinsulinemia / very insulin sensative.

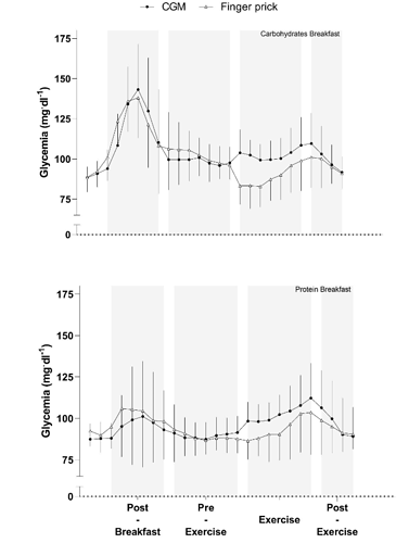
I can’t complain about accuracy. We’ve still had quite a few test strips at home, checked it against the CGM reading. Pretty good match. In line with what has been shown here:

https://www.researchgate.net/publication/354506091_Concurrent_validity_of_a_continuous_glucose_monitoring_system_at_rest_during_and_following_a_high-intensity_interval_training_session

At rest it does not seem too bad, quite some deviation during exercise. And isn’t this one of the selling points of Supersapiens, the monitoring during exercise?

This may be giving me more questions than i need.

Should hard effort raise the glucose level in the blood and cause a spike?

EDIT - stupid question obviously high intense interval will as it causes a release of adrenaline and cortisol into the body.

severely limit rice potatoes and cereals (whole grains?) … that doctor is a quack!
Kale, broccoli etc are not “carbs”, healthy yes, but to rely on them for carbohydrates (energy) is nonsensical.

1 Like