VO2 max interval protocol that works best for most

This is helpful, thanks!

I do wonder if it’s possible to quantify the impact of these factors.

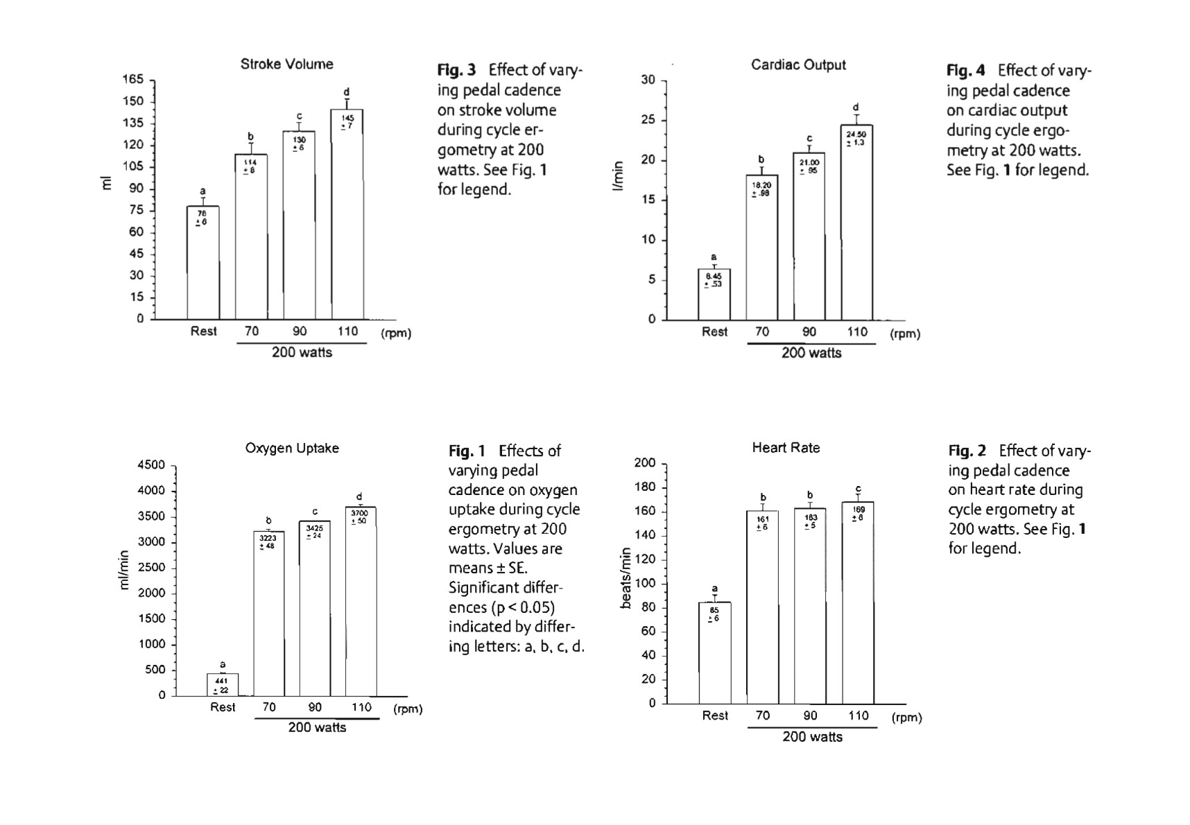
The paper Kollie is citing has these charts:

But I do wonder how these differences translate into Vo2Max gains over time. Does anyone know if this has been studied? E.g., take one group at 70 rpm and another at 110 rpm, keep everything else equal, measure all the standard metrics (VO2 max, etc).

If this hasn’t been studied, it’d be interesting to hear everyone’s thoughts on how to go about speculating/hypothesizing about what the magnitude of the difference might be.

1 Like

I get the point you’re making, but I’ll add that you probably shouldn’t be doing VO2 work in Erg mode.

2 Likes

As a naive counterpoint: if cadence was so critically important for VO2 max development, wouldn’t rowers be constrained in terms of their maximum VO2Max development due to low cadence, even during high-intensity work?

Instead, they have the highest absolute VO2 Max. If I understand correctly, this implies that their heart and lungs are more than capable of consuming a lot of oxygen; it’s just that the muscle mass is also high, so the relative VO2 estimate is lower. I’m not an expert, so would be curious to hear what people think.

1 Like

Kinda? I think the 3 min Z5 + 12 min SST is a “transition” workout to prime for proper VO2/MAP work, and it’s also road specific (think breakaway efforts).

The 30/15s + 2x8/2 threshold+ was a great workout, though again not sure how well it’s training VO2 specifically, but pre-fatigued 2x8 at 105%ish is pretty nice.

I give some of my athletes mixed periodization which is what I’m actually doing this season as well. Typically I’m a block-style coach and that’s the training I’ve done most of the last three or four years, but changing stimulus and trying new stuff is always good. I don’t feel like it’s costing me anything and maybe I’ll learn something.

Yeah, and the issue I have with prescribing workouts like this as % of FTP is that it’s so individual you’re not going to get good work in if you do that blanket for everyone. Much prefer “max repeatable” stuff. For example, if I had followed the %FTP model my coach laid out for the 30/15s blindly, I would’ve started the 30s at 370 and dropped to like 320 in both intervals. Instead my first set was 400 down to 350 and the second was more like 370 to 320. When I did Rattlesnake a few years back, I didn’t find it particularly challenging following the power prescriptions. Go max (or max repeatable anyway).

That’s because that’s what it was. Now go do 4x5 as 90s at 120% and 3:30 at 110% (as an example) and see how that one feels.

Two things here… it depends on what is being targeted.

If you’re targeting max aerobic power production, yes, I agree work on the torque if that’s a limiter. (I’m doing that now as I have good leg speed but torque can be a limitation at higher power on inclines).

If you’re targeting improved stroke volume, high cadence is a necessary part of the prescription.

Either way, get the heck outta erg mode.

6 Likes

I don’t study rowers, but this is apples and oranges IMO. More muscle overall is engaged when rowing, so you still have very large venous return coming from all over the body, whereas in cycling it’s coming almost entirely from your legs. Thus, less muscle contraction moving blood necessarily requires more frequent contractions to achieve the same cardiac preload. That would be my theory anyway.

That said, when you bring the relative weights in, rowing falls off pretty dramatically because bigger people have bigger raw O2 uptake, all else equal.

4 Likes

I agree it’s not apples to apples, as so many other things are different between these groups.

But your reasoning makes me feel better about my exercise bike choice (full-body, low RPM) from the perspective of VO2 max development. :slight_smile:

2 Likes

The chart illustrates exactly what Kolie is saying that we need to train (stroke volume and cardiac output) - central adaptions. I’m sure we get some peripheral adaptations too but I’m guessing that we get those with other types of training (FTP, SS, tempo).

You can listen to about 8 hours of his podcast on the subject!

1 Like

I think rowers have highest vo2 numbers (not ‘max’ which divides by kg) because they are the largest people. The bigger the body, the bigger the heart and lungs, on average. Google average height and weight of elite athletes by sport. It would likely correlate strong to vo2 numbers (absolute)

1 Like

I understand the idea. But the question is about quantifying the magnitude of VO2 max impact. In other words, the stroke volume difference appears huge (115 vs 145 → +26%!), so is cardiac output difference.

Would this imply or that one group training at 110 would have 26% more VO2 max gains than the one training at 70? I.e., one group would add 2ml/kg/min and the other one would add 2.52ml/kg/min? Or would the real-world difference be more trivial? And how much more trivial? 13% instead of 26%? Or 1.3% or any other number?

Yes, that’s “absolute” VO2 max (L/min). If you divide by kg, you get “relative” VO2 Max (ml/kg/min). Rowers excel at the former. Cyclists excel at the latter. XC skiers excel at both. Check out the charts I posted above.

2 Likes

The cadence aspect is holding body weight constant. That is, at the same weight, vo2 is higher at higher cadence relative to lower cadence, on average.

It suggests that even tho rowers have the highest absolute vo2 (because the have the biggest bodies) if that rower were to hold pace constant on an erg and vary strokes per minute (spm), the rower would have higher vo2 as spm increases.

1 Like

I think that conclusion would be too simplistic. Even though put in a certain stimulus, there’s no guarantee that the athlete will even respond.

Can you post a link to that study?

Thanks!

X2 this…having done a few of these blocks the leg fatigue is greatly reduced with the high rpm vs normal cadences. No way i could do 2 or 3 if these workouts a week with normal cadences

1 Like

What do you think is proper recovery after a hard vo2 block? About to finish my block and unsure about how long to rest

In my experience at least a week, but if you have done a heavily concentrated block it can be longer.

I play it by ear and slowly ramp back into intensity based on how I am feeling. Will generally spend a week doing endurance with maybe some shorter intervals around threshold late in the week. Once the legs feel fresh I go and test to see what sort of boost the block gave me.

1 Like

Of course, there are going to be non-responders and a certain distribution.

All I’m saying is that it would be helpful to see a study that actually quantified the impact on metrics we actually care about, such as VO2 Max, power, time to exhaustion, etc and showed the mean, median, and SDs. Before we can see that we can’t know for sure that there would be impact on these metrics and whether it would be major or minor.

The study is linked in the podcast episode notes, here it is:

1 Like

The cadence aspect is holding body weight constant. That is, at the same weight, vo2 is higher at higher cadence relative to lower cadence, on average.

It suggests that even tho rowers have the highest absolute vo2 (because the have the biggest bodies) if that rower were to hold pace constant on an erg and vary strokes per minute (spm), the rower would have higher vo2 as spm increases.

This makes sense. I wonder if that could be a reason for rowers to do some non-specific VO2 max work on some full-body machine that allows for higher cadence (in addition to doing specific VO2 max on rowing ergs). I have no idea if they actually do anything like this.

1 Like

I think they have pretty big variance with spm as it stands. For example, they may do their endurance(“zone 2”) at 20 or 22 spm, while they race a 2k at 30spm. Difference from 20 to 30 spm is 50% faster.

Depends on the duration and density of the block. Anywhere from 5 to 14+ days, I’ve seen.

1 Like

I find this thread confusing to follow. To your question, maximum oxygen capacity (vo2max) starts with

  • Absolute VO2max

which is the volume of oxygen in liters per minute. It is measured by the person wearing a mask.

Then for comparison across a group or groups, it can be normalized by weight:

  • Relative VO2max

Rowers are pretty big. On Saturday I rode by the local college rowing center, and there was a college meet (crew of 8). Saw a bunch of women warming up on Concept rowers. Continuing further up the road along the river, we rode by the Kansas State women’s team running back to the aquatic center. Those girls looked more like weight lifters than cyclists. So although rowers may have higher absolute vo2max values, the extra weight will bring down the relative vo2max values vs elite cyclists.

So then we come around to vo2max training. The confusing part here is there are:

  • intervals to improve vo2max, these are classic vo2max intervals generally from 3 to 8 minutes long (mostly 3-5 minutes) and primarily focused on cardiovascular improvements although they can also improve metabolic (leg muscle) fitness
  • low-intensity consistent aerobic capacity work, the training rarely discussed, that when done consistently compound over time and improves vo2max “from below” and elicits improvements to both cardiovascular (stronger slow heartbeats / stroke volume) and metabolic (more mitochondria to consume oxygen and produce energy) fitness. This in fact is the cornerstone of elite training, and applies to average Joes too, and the average Joes, at least on the Internet, seem to get overly focused on high-intensity training.
  • protocols to bring about cardiac remodeling, which are all the references to “true vo2max work” and Kolie Moore / Empirical Cycling and involve highly intense efforts at high cadence in a concentrated block and should be done with careful consideration
3 Likes